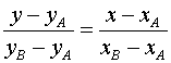
Equazione della retta passante
per due punti A(xA;yA) e B(xB;yB)


1) Se A e B hanno ascisse e ordinate diverse (retta non parallela agli assi):
2) Se A e B hanno la stessa ascissa (retta parallela all’asse y):
3) Se A e B hanno la stessa ordinata (retta parallela all’asse x):




Ritorna all’home page