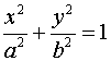
L’ellisse
con i fuochi sull’asse delle x
e simmetrici rispetto all’origine
Equazione generale
Ritorna all’
home page
Scegli un’altra formula dal menù:
GEOMETRIA ANALITICA
Distanza tra due punti
Coordinate del punto medio di un segmento
La retta
La parabola
La circonferenza
L’ellisse
con i fuochi sull'asse x
Equazione generale
I fuochi
I vertici
L’ellisse
con i fuochi sull'asse y
L’iperbole
TRIGONOMETRIA
ANALISI