Condizione di perpendicolarità
1) Due rette non parallele all’asse x, di equazione
e
,
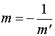
sono perpendicolari se e solo se
2) Due rette del tipo
e
essendo parallele rispettivamente
all’asse y e all’asse x,
sono anche perpendicolari tra loro.
Ritorna all’
home page
Scegli un’altra formula dal menù:
GEOMETRIA ANALITICA
Distanza tra due punti
Coordinate del punto medio di un segmento
La retta
Equazione generale della retta in forma implicita
Equazione generale della retta in forma esplicita
Equazione della retta passante per due punti
Retta di cui si conoscono un punto e il coefficiente angolare
Condizione di parallelismo tra due rette
Condizione di perpendicolarità tra due rette
Distanza tra un punto e una retta
La parabola
La circonferenza
L’ellisse
L’iperbole
TRIGONOMETRIA
ANALISI