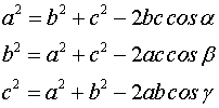
Teorema di Carnot
In un triangolo qualunque il quadrato di un lato è uguale alla somma dei quadrati degli altri due, diminuita del loro doppio prodotto moltiplicato per il coseno dell’angolo compreso.
Ritorna all’
home page
Scegli un’altra formula dal menù:
GEOMETRIA ANALITICA
TRIGONOMETRIA
Relazioni fondamentali della goniometria
Altre relazioni tra funzioni goniometriche
Principali archi associati
Valori particolari assunti dalle funzioni seno e tangente
Formule di addizione e sottrazione
Formule di duplicazione
Formule di bisezione
Primo teorema sui triangoli rettangoli
Secondo teorema sui triangoli rettangoli
Teorema della corda
Teorema dei seni
Teorema di Carnot
ANALISI