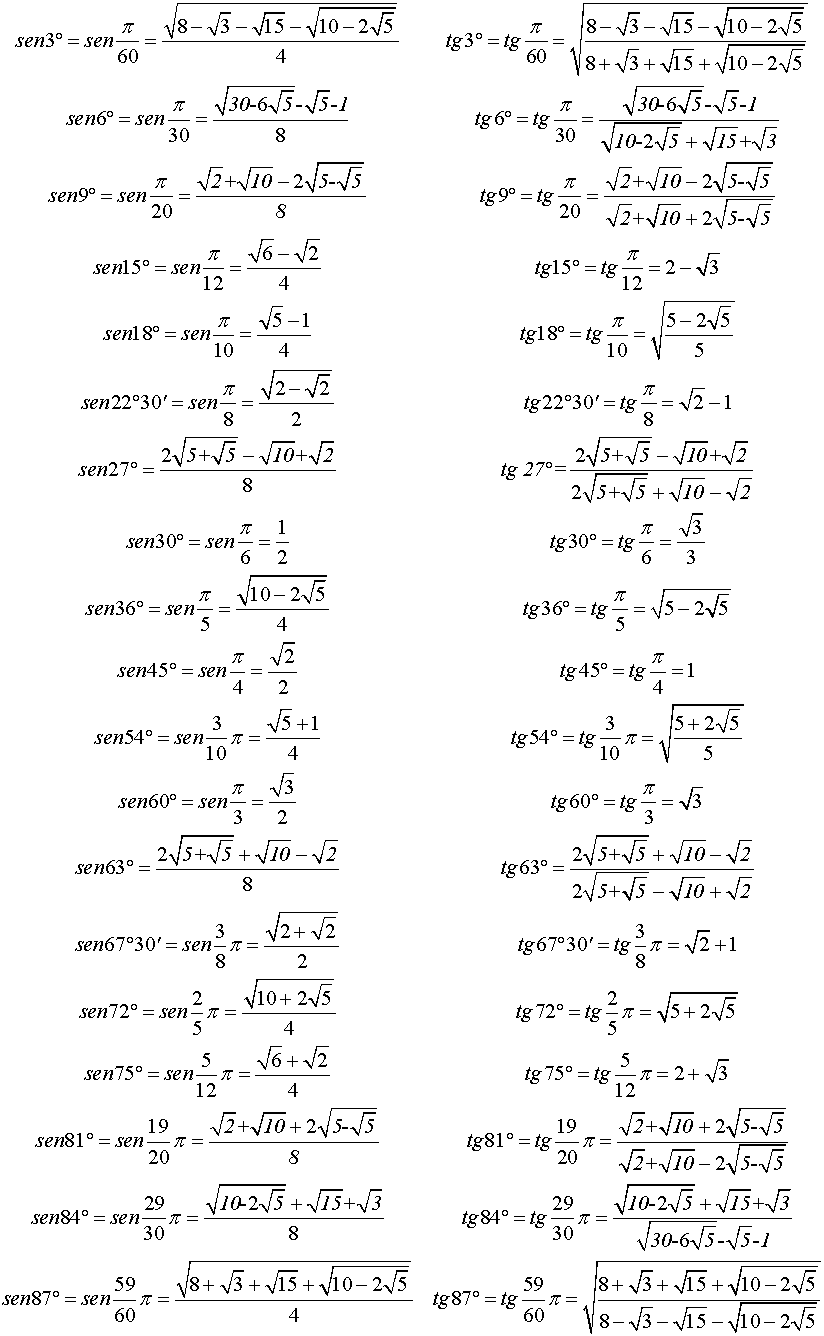
Valori particolari assunti dalle funzioni seno e tangente in corrispondenza di angoli particolari


Coseno e cotangente si possono calcolare facilmente tenendo presente che angoli complementari (quelli la cui somma è un angolo retto) scambiano tra loro seno e coseno, nonché tangente e cotangente: per esempio il coseno di 60° (90°-30°) è uguale al seno di 30°, mentre la cotangente di 60° è uguale alla tangente di 30°.







Ritorna all’home page